Injunction against HSBC
Nearby 15 years AVIS Group maintain by its shareholders USD 20 billion under deposit.
Injunction against HSBC
Nearby 20 years along, the AVIS Group maintain by its shareholders USD 20 billion under custody. As now the Group entered into the construction phase, the construction invoices must be paid. AVIS requested his funds to be releases by HSBC. A real surprise finds its daylight as AVIS requesting its accounts to be paid out. The Group faced a nightmare with the bank. They high class HSBC bankers just ignored all the approaches of AVIS Team members. Not even an email has been answered from the directors of the bank. The UK consumer help desk of the bank responded ones, confirming that they are coming back, but any further intention for getting the account released the HSBC directors ignored arrogant. AVIS interviewed the crime force department of HSBC. They themselves could not understand that their own high ups treating clients like this. Even the Bank face such a substantial problem, never could be expected such an unprofessional behaviour of the VIPs at HSBC. AVIS reported the case to the Bank of England, Federal Reserve, several authorities and forces the payment with all legal means ...
Confirm international press, the bank face substantial problems
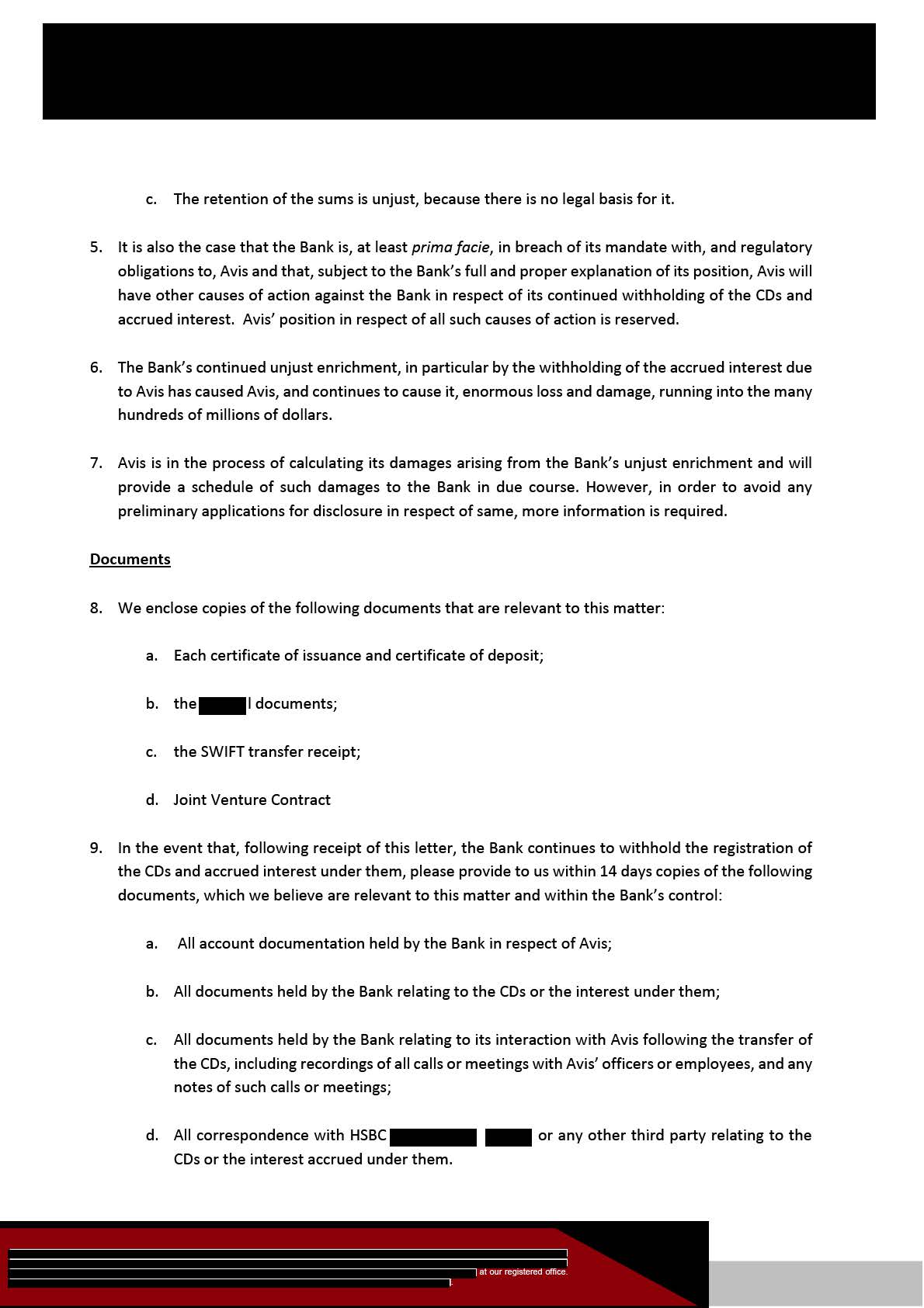
Tier1 FX Interbank give up 40% of its office space
_geschwa%CC%88rzt_Seite_1.jpg?1679352890141)
_geschwa%CC%88rzt_Seite_2.jpg?1679352924184)
_geschwa%CC%88rzt_Seite_3.jpg?1679352940356)
_geschwa%CC%88rzt_Seite_4.jpg?1679352960992)
_geschwa%CC%88rzt_Seite_5.jpg?1679352982141)
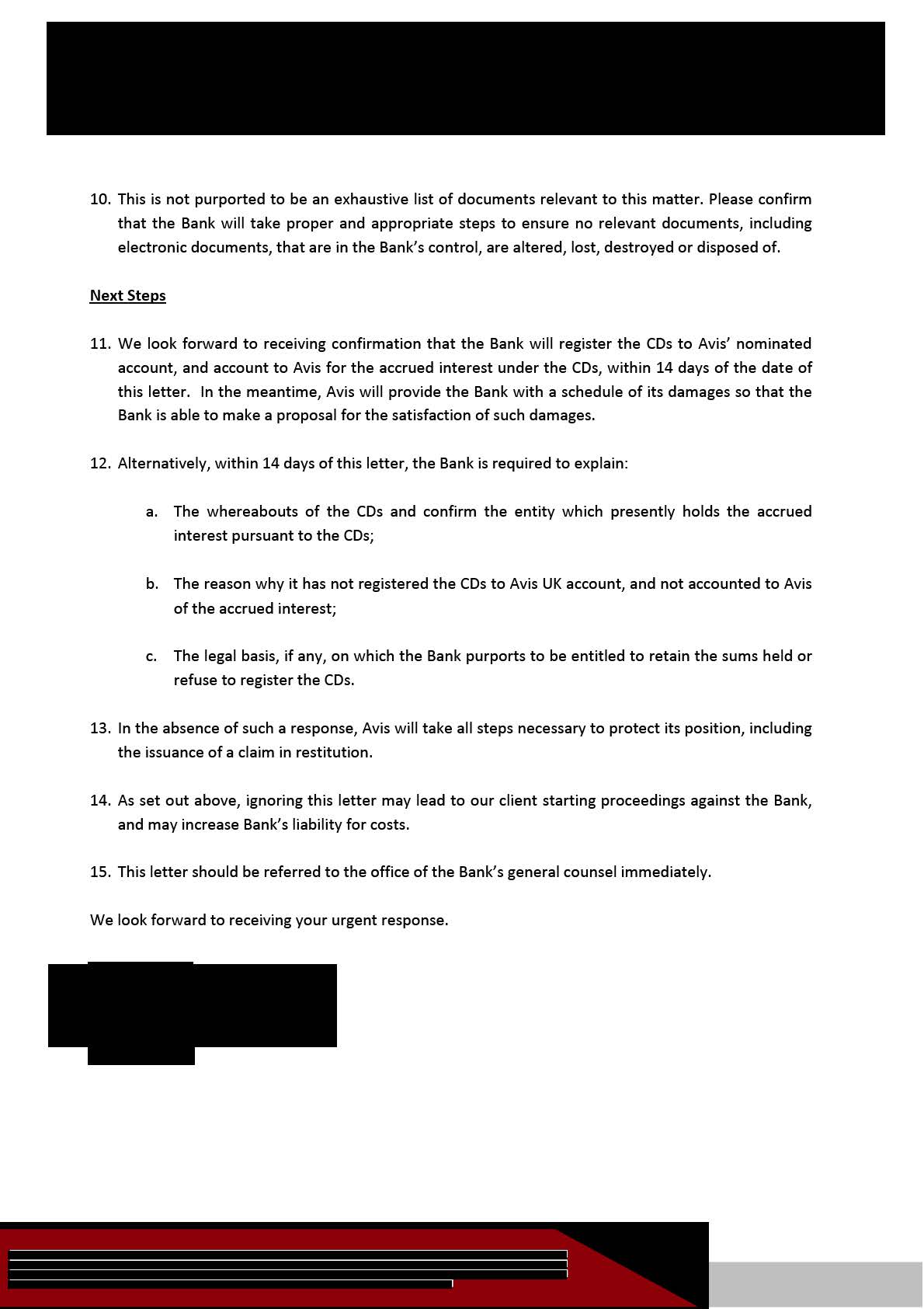
.jpg?1679441359954)
